Passados 8 dias que foram entregues as contas de energia em Campo do Brito, os moradores ainda não receberam a devida explicação sobre como foram feitos os cálculos, que causaram em sua maioria, aumentos exorbitantes na “taxa” de iluminação pública.
Como já noticiado anteriormente pela nossa redação, houve casos em que o aumento foi de mais de 2.700%. Ao entrar em contato com o SAC da Energisa, consumidores foram informados que os valores da cobrança era de responsabilidade da prefeitura. Até o momento a prefeitura não se pronunciou publicamente sobre o assunto, e as pessoas querem saber: Por que esse aumento? Como é calculada a taxa de iluminação? Por que uma diferença tão grande entre os valores? E até quando vai continuará assim?
As informações conseguida pela redação e também discutida na última sessão da câmara de vereadores do município, no dia 26, podem responder algumas perguntas:
– Por que esse aumento?
No dia 22 de dezembro de 2014, foi sancionada pelo prefeito municipal a Lei Complementar Nº 145/2014, alterando a Lei Complementar nº 110/2002, de 27 de dezembro de 2002, que institui a Contribuição de Iluminação Pública – CIP.
A lei do reajuste foi criada pelo executivo e aprovada pela maioria dos vereadores.
A justifica do reajuste, é de que o município gastava mais do que arrecadava com a iluminação pública, mas não foi falado o quanto a mais em porcentagens.
– Por que a diferença entre os valores?
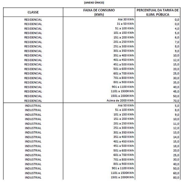
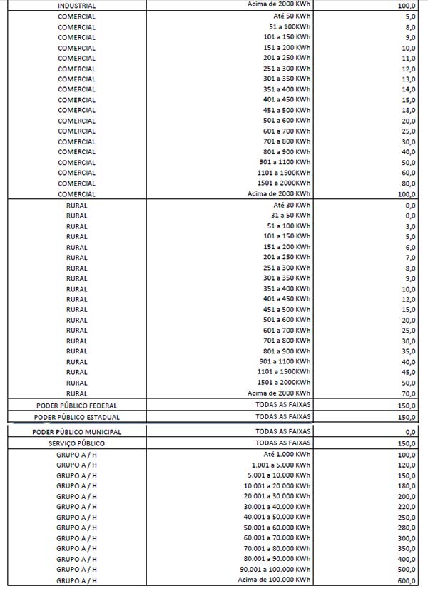
De acordo com a Lei Complementar nº 110/2002, a taxa de iluminação será calculada com base nas faixas de consumo da residência, comercio ou indústria. Ou seja, quando mais for consumido dentro da casa, comercio ou indústria, maior será o valor da taxa, apesar da iluminação ser igual a todos os munícipes. Fato esse bastante questionado pela população.
– Como é feito o calculo da taxa de iluminação?
Apesar de explicado que a cobrança é feita de acordo com o consumo, na sessão da câmara, não foi explicado qual a formula dos cálculos. Quais os valores corretos por faixas? O calculo é feito por porcentagem do que é cobrado na conta?
As pessoas que foram a câmara, ouvir seus representantes, saíram sem a devida explicação.
– E até quando vai continuará assim?
Até o momento a prefeitura não se pronunciou sobre o caso, apesar de já ter se passado 8 dias e as pessoas continuam demonstrando suas insatisfações nas ruas, rádios e redes sócias. Para alguns dos vereadores que aprovaram a lei, esse fato não deve ficar assim, e que a população deve procurar o prefeito para que o mesmo venha solucionar o problema.
Confira a lei abaixo:












